773 - algebra

Catena di equazioni

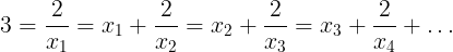
Data la catena di equazioni 3 = 2/x1 = x1 + 2/x2 = x2 + 2/x3 = x3 + 2/x4 = …, quanto vale il termine generico xn?

[la catena di equazioni]

[aiutino?]     [risposta]

[continua]    [indice]

Problema 7 da Stephen Siklos, Advanced Problems in Mathematics.